• 中文核心期刊
  • CSCD来源期刊
  • 中国科技核心期刊
  • CA、CABI、ZR收录期刊

枯草芽孢杆菌B2-GFP菌株对甜椒幼苗生长和生理特性的影响

Application of Bacillus subtilis B2-GFP to Promote Growth of Sweet Pepper Seedlings

  • 摘要:
      目的  筛选能促进甜椒幼苗生长的枯草芽孢杆菌B2-GFP菌株发酵液适宜浓度,为研发菌肥作用于蔬菜提供依据。
      方法  以甜椒硕源808为材料,设置枯草芽孢杆菌B2-GFP菌株发酵液T1(1×105 CFU·mL−1)、T2(1×106 CFU·mL−1)、T3(1×107 CFU·mL−1)、T4(1×108 CFU·mL−1)4个浓度梯度处理,每隔7 d向植株浇灌菌株发酵液,连续浇灌3次,每次每株浇灌5 mL,21 d时测定甜椒幼苗生长指标、生物量积累、叶片光合特性、叶绿素荧光参数、根系抗氧化酶活性、根系形态建成及根系活力指标。
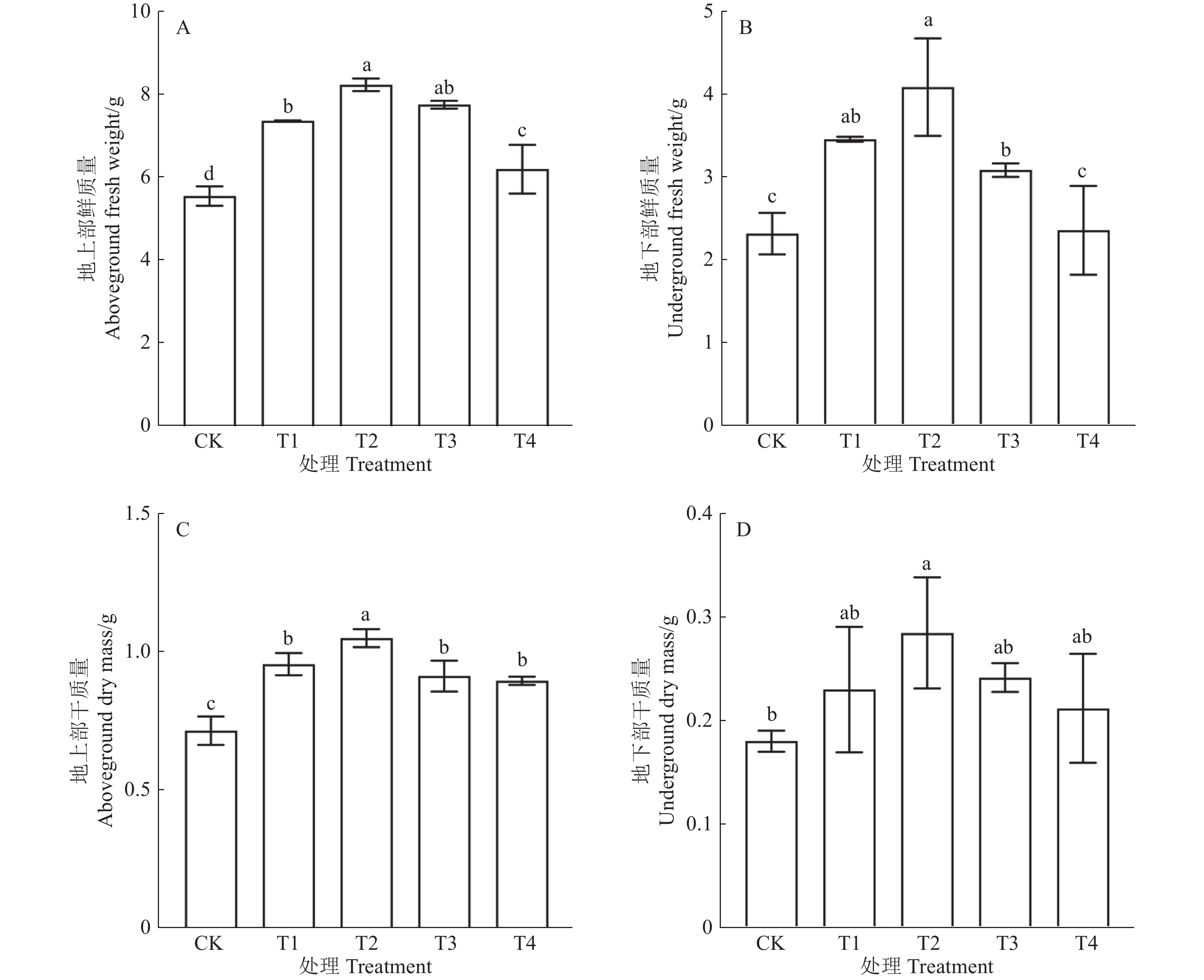
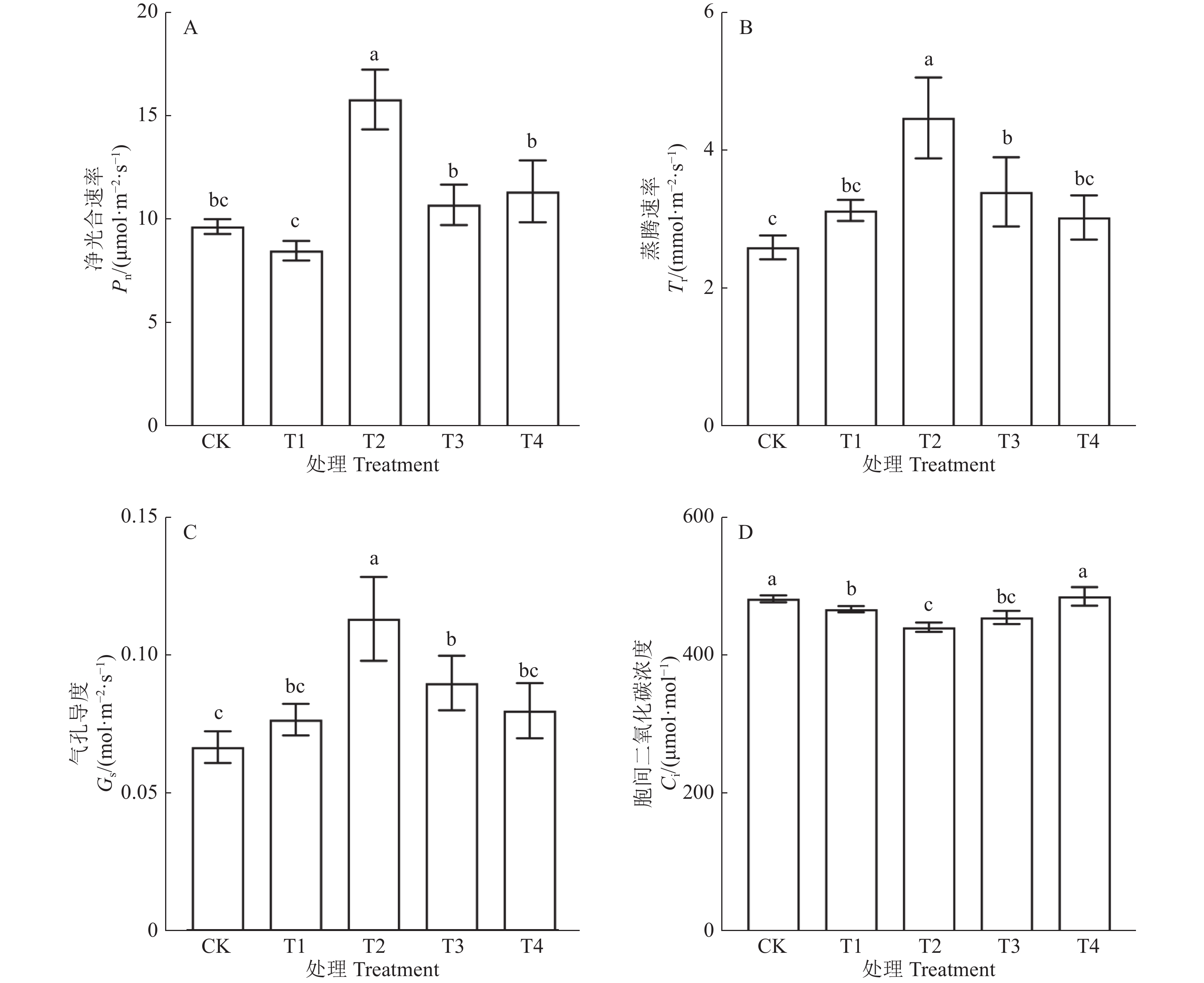
      结果  与对照相比,不同浓度枯草芽孢杆菌B2-GFP菌株发酵液可提高甜椒株高、叶面积、叶绿素含量、植株生物量,以1×106 CFU·mL−1的增幅最大。同时,该浓度显著提高了叶片蒸腾速率(Tr)、气孔导度(Gs)、最大荧光(Fm)、PSⅡ实际光化学效率(ФPSⅡ)和光化学荧光猝灭系数(qP),降低了胞间CO2浓度(Ci)和叶绿素基础荧光(Fo);提高甜椒根系过氧化物酶(POD)、过氧化氢酶(CAT)、超氧化物歧化酶(SOD)、苯丙氨酸解氨酶(PAL)、多酚氧化酶(PPO)活性及根系活力。
      结论  在甜椒移栽后浇灌1×106 CFU·mL−1B2-GFP菌株发酵液可促进甜椒植株生长和根系形态建成,增强叶片光合能力,提高生物量积累、根系抗氧化酶活性和根系活力。

     

    Abstract:
      Objective   Effects of applying Bacillus subtilis B2-GFP culture broth on the growth and physiology of sweet pepper seedlings were studied.
      Methods  In a pot experiment, seedlings of sweet pepper Shuoyuan 808 were treated with B. subtilis B2-GFP culture broths at the concentrations of 1×105 CFU·mL−1 (T1), 1×106 CFU·mL−1 (T2), 1×107 CFU·mL−1 (T3), and 1×108 CFU·mL−1 (T4), along with non-treatment control (CK). The transplanted sweet pepper seedlings were given 5 mL 1×106CFU·mL−1 B2-GFP culture broth every 7 d for 3 times. Growth index, biomass accumulation, leaf photosynthesis, and chlorophyll fluorescence parameters as well as antioxidant enzyme activities, morphological formation, and root vitality of the plants were monitored at 21 d.
      Results  Application of the B2-GFP culture broth increased the plant height and biomass as well as the leaf area and chlorophyll content over CK. The greatest effect was observed under T2, which also accentuated the leaf transpiration rate (Tr), stomatal conductance (Gs), maximum fluorescence (Fm), photosystem II potential Activity (ФPSⅡ), and photochemical fluorescence quenching coefficient (qP) as well as the activities of peroxidase (POD), catalase (CAT), superoxide dismutase (SOD), phenylalanine ammonia lyase (PAL), and polyphenol oxidase (PPO) in the roots but reduced the intercellular CO2 concentration (Ci) and chlorophyll basic fluorescence (Fo).
      Conclusion   When the transplanted sweet pepper seedlings were given 1×106 CFU·mL−1 B2-GFP culture broth, all monitored indicators on the plant growth and root development including leaf photosynthetic parameters and biomass and root antioxidant enzymes activities and vitality were significantly improved in 3 weeks.

     

/

返回文章
返回